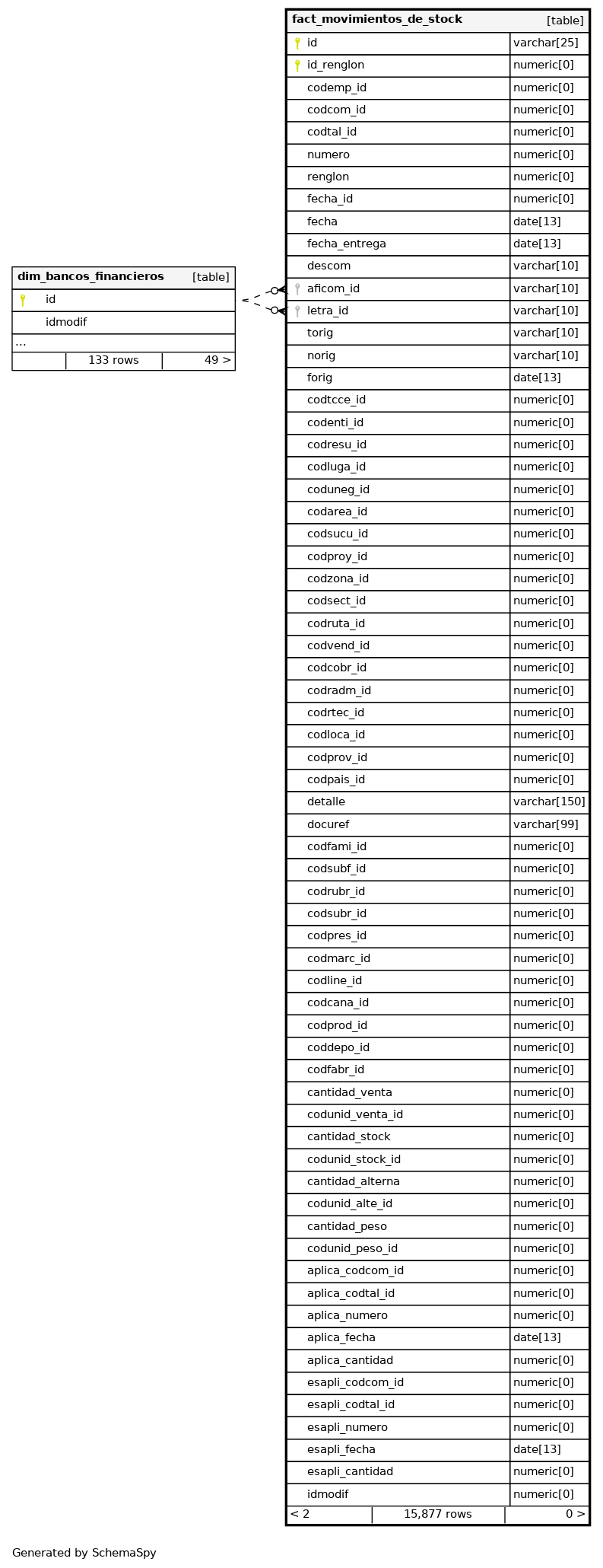
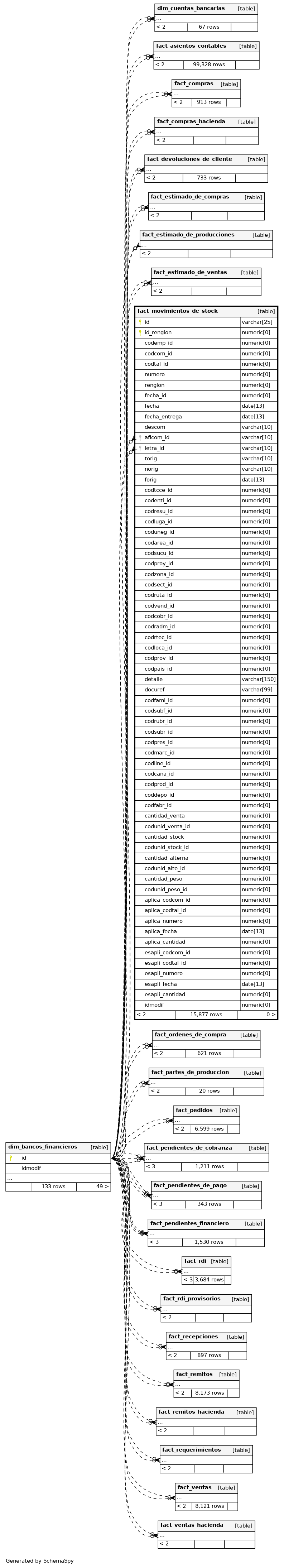
Columns
| Column | Type | Size | Nulls | Auto | Default | Children | Parents | Comments | |||
|---|---|---|---|---|---|---|---|---|---|---|---|
| id | varchar | 25 | null |
|
|
id del registro |
|||||
| id_renglon | numeric | 0 | null |
|
|
id de los renglones asociados al regsitro |
|||||
| codemp_id | numeric | 0 | √ | null |
|
|
Codigo de Empresa |
||||
| codcom_id | numeric | 0 | √ | null |
|
|
Tipo de Comprobante |
||||
| codtal_id | numeric | 0 | √ | null |
|
|
Código de talonario |
||||
| numero | numeric | 0 | √ | null |
|
|
Número de Comprobante |
||||
| renglon | numeric | 0 | √ | null |
|
|
Número de Renglón |
||||
| fecha_id | numeric | 0 | √ | null |
|
|
identificador de fecha del comprobante |
||||
| fecha | date | 13 | √ | null |
|
|
Fecha de Emisión |
||||
| fecha_entrega | date | 13 | √ | null |
|
|
falta documentar |
||||
| descom | varchar | 10 | √ | null |
|
|
Descripcion reducida del Comprobante |
||||
| aficom_id | varchar | 10 | √ | null |
|
|
Tipo de comprobante ventas ARCA |
||||
| letra_id | varchar | 10 | √ | null |
|
|
Letra del Comprobante |
||||
| torig | varchar | 10 | √ | null |
|
|
Talón original |
||||
| norig | varchar | 10 | √ | null |
|
|
Numero original |
||||
| forig | date | 13 | √ | null |
|
|
Fecha Original |
||||
| codtcce_id | numeric | 0 | √ | null |
|
|
Tipo de Cuenta Corriente |
||||
| codenti_id | numeric | 0 | √ | null |
|
|
Número de Cliente/Proveedor |
||||
| codresu_id | numeric | 0 | √ | null |
|
|
Resumen de Cta Cte |
||||
| codluga_id | numeric | 0 | √ | null |
|
|
Lugar de entrega |
||||
| coduneg_id | numeric | 0 | √ | null |
|
|
unidad de negocio |
||||
| codarea_id | numeric | 0 | √ | null |
|
|
area del negocio |
||||
| codsucu_id | numeric | 0 | √ | null |
|
|
codigo de sucursal |
||||
| codproy_id | numeric | 0 | √ | null |
|
|
numero de negocio general |
||||
| codzona_id | numeric | 0 | √ | null |
|
|
codigo de zona |
||||
| codsect_id | numeric | 0 | √ | null |
|
|
codigo de sector |
||||
| codruta_id | numeric | 0 | √ | null |
|
|
codigo de ruta |
||||
| codvend_id | numeric | 0 | √ | null |
|
|
codigo de vendedor |
||||
| codcobr_id | numeric | 0 | √ | null |
|
|
codigo de cobrador |
||||
| codradm_id | numeric | 0 | √ | null |
|
|
codigo de responsable administrativo |
||||
| codrtec_id | numeric | 0 | √ | null |
|
|
Codigo de responsable tecnico |
||||
| codloca_id | numeric | 0 | √ | null |
|
|
Código interno de Localidad |
||||
| codprov_id | numeric | 0 | √ | null |
|
|
numero interno de provincia |
||||
| codpais_id | numeric | 0 | √ | null |
|
|
numero interno de pais |
||||
| detalle | varchar | 150 | √ | null |
|
|
descripcion del renglon |
||||
| docuref | varchar | 99 | √ | null |
|
|
Documento de Referencia |
||||
| codfami_id | numeric | 0 | √ | null |
|
|
Código de Familia |
||||
| codsubf_id | numeric | 0 | √ | null |
|
|
Código de Sub-Familia |
||||
| codrubr_id | numeric | 0 | √ | null |
|
|
Código de rubro de Sub-Familia |
||||
| codsubr_id | numeric | 0 | √ | null |
|
|
Código de sub-rubro |
||||
| codpres_id | numeric | 0 | √ | null |
|
|
Código de presentacion |
||||
| codmarc_id | numeric | 0 | √ | null |
|
|
Codigo de marca |
||||
| codline_id | numeric | 0 | √ | null |
|
|
Linea de productos |
||||
| codcana_id | numeric | 0 | √ | null |
|
|
Codigo de canal |
||||
| codprod_id | numeric | 0 | √ | null |
|
|
Codigo de deposito |
||||
| coddepo_id | numeric | 0 | √ | null |
|
|
Código de la fabrica |
||||
| codfabr_id | numeric | 0 | √ | null |
|
|
falta documentar |
||||
| cantidad_venta | numeric | 0 | √ | null |
|
|
unidad de venta |
||||
| codunid_venta_id | numeric | 0 | √ | null |
|
|
falta documentar |
||||
| cantidad_stock | numeric | 0 | √ | null |
|
|
unidad de stock |
||||
| codunid_stock_id | numeric | 0 | √ | null |
|
|
falta documentar |
||||
| cantidad_alterna | numeric | 0 | √ | null |
|
|
unidad de stock alternativa |
||||
| codunid_alte_id | numeric | 0 | √ | null |
|
|
falta documentar |
||||
| cantidad_peso | numeric | 0 | √ | null |
|
|
unidad de peso |
||||
| codunid_peso_id | numeric | 0 | √ | null |
|
|
falta documentar |
||||
| aplica_codcom_id | numeric | 0 | √ | null |
|
|
codigo del tipo de comprobante al cual aplica el comprobante |
||||
| aplica_codtal_id | numeric | 0 | √ | null |
|
|
codigo de la serie de numeracion al cual aplica el comprobante |
||||
| aplica_numero | numeric | 0 | √ | null |
|
|
numero de comprobante al cual aplica el comprobante |
||||
| aplica_fecha | date | 13 | √ | null |
|
|
fecha de la aplicacion |
||||
| aplica_cantidad | numeric | 0 | √ | null |
|
|
cantidad aplicada |
||||
| esapli_codcom_id | numeric | 0 | √ | null |
|
|
codigo del tipo de comprobante que lo aplica al comprobante |
||||
| esapli_codtal_id | numeric | 0 | √ | null |
|
|
codigo de la serie de numeracion que lo aplica al comprobante |
||||
| esapli_numero | numeric | 0 | √ | null |
|
|
numero del comprobante que lo aplica al comprobante |
||||
| esapli_fecha | date | 13 | √ | null |
|
|
fecha del comprobante que lo aplica |
||||
| esapli_cantidad | numeric | 0 | √ | null |
|
|
cantidad que lo aplica |
||||
| idmodif | numeric | 0 | √ | null |
|
|
identificador de la modificacion |
Indexes
| Constraint Name | Type | Sort | Column(s) |
|---|---|---|---|
| fact_movimientos_de_stock_pkey | Primary key | Asc/Asc | id + id_renglon |
| fact_movimientos_de_stock_idx_codemp | Performance | Asc/Asc/Asc/Asc/Asc/Asc | codemp_id + codcom_id + codtal_id + numero + id + id_renglon |
| fact_movimientos_de_stock_idx_codenti | Performance | Asc/Asc/Asc/Asc | codenti_id + fecha_id + id + id_renglon |
| fact_movimientos_de_stock_idx_idmodif | Performance | Asc/Asc/Asc | idmodif + id + id_renglon |


