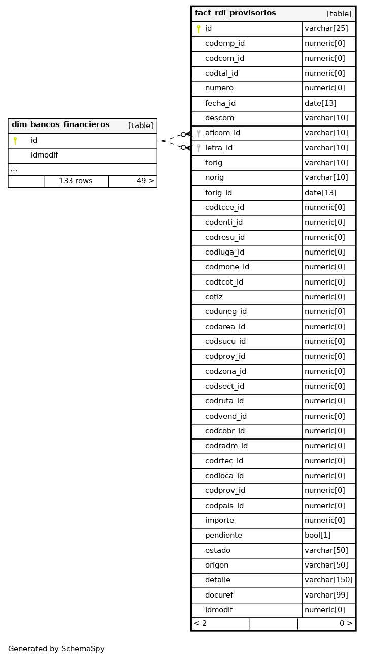
Columns
| Column | Type | Size | Nulls | Auto | Default | Children | Parents | Comments | |||
|---|---|---|---|---|---|---|---|---|---|---|---|
| id | varchar | 25 | null |
|
|
id del registro |
|||||
| codemp_id | numeric | 0 | √ | null |
|
|
Codigo de Empresa |
||||
| codcom_id | numeric | 0 | √ | null |
|
|
Tipo de Comprobante |
||||
| codtal_id | numeric | 0 | √ | null |
|
|
Código de talonario |
||||
| numero | numeric | 0 | √ | null |
|
|
Número de Comprobante |
||||
| fecha_id | date | 13 | √ | null |
|
|
identificador de fecha del comprobante |
||||
| descom | varchar | 10 | √ | null |
|
|
Descripcion reducida del Comprobante |
||||
| aficom_id | varchar | 10 | √ | null |
|
|
Tipo de comprobante ventas ARCA |
||||
| letra_id | varchar | 10 | √ | null |
|
|
Letra del Comprobante |
||||
| torig | varchar | 10 | √ | null |
|
|
Talón original |
||||
| norig | varchar | 10 | √ | null |
|
|
Numero original |
||||
| forig_id | date | 13 | √ | null |
|
|
Fecha Original |
||||
| codtcce_id | numeric | 0 | √ | null |
|
|
Tipo de Cuenta Corriente |
||||
| codenti_id | numeric | 0 | √ | null |
|
|
Número de Cliente/Proveedor |
||||
| codresu_id | numeric | 0 | √ | null |
|
|
Resumen de Cta Cte |
||||
| codluga_id | numeric | 0 | √ | null |
|
|
Lugar de entrega |
||||
| codmone_id | numeric | 0 | √ | null |
|
|
Moneda en la que se expresa |
||||
| codtcot_id | numeric | 0 | √ | null |
|
|
Tipo de Cotizacion de la Moneda |
||||
| cotiz | numeric | 0 | √ | null |
|
|
unidad de negocio |
||||
| coduneg_id | numeric | 0 | √ | null |
|
|
area del negocio |
||||
| codarea_id | numeric | 0 | √ | null |
|
|
codigo de sucursal |
||||
| codsucu_id | numeric | 0 | √ | null |
|
|
numero de negocio general |
||||
| codproy_id | numeric | 0 | √ | null |
|
|
codigo de zona |
||||
| codzona_id | numeric | 0 | √ | null |
|
|
codigo de sector |
||||
| codsect_id | numeric | 0 | √ | null |
|
|
codigo de ruta |
||||
| codruta_id | numeric | 0 | √ | null |
|
|
codigo de vendedor |
||||
| codvend_id | numeric | 0 | √ | null |
|
|
codigo de cobrador |
||||
| codcobr_id | numeric | 0 | √ | null |
|
|
codigo de responsable administrativo |
||||
| codradm_id | numeric | 0 | √ | null |
|
|
Codigo de responsable tecnico |
||||
| codrtec_id | numeric | 0 | √ | null |
|
|
Código interno de Localidad |
||||
| codloca_id | numeric | 0 | √ | null |
|
|
numero interno de provincia |
||||
| codprov_id | numeric | 0 | √ | null |
|
|
numero interno de pais |
||||
| codpais_id | numeric | 0 | √ | null |
|
|
falta documentar |
||||
| importe | numeric | 0 | √ | null |
|
|
falta documentar |
||||
| pendiente | bool | 1 | √ | null |
|
|
falta documentar |
||||
| estado | varchar | 50 | √ | null |
|
|
falta documentar |
||||
| origen | varchar | 50 | √ | null |
|
|
descripcion del renglon |
||||
| detalle | varchar | 150 | √ | null |
|
|
Documento de Referencia |
||||
| docuref | varchar | 99 | √ | null |
|
|
identificador de la modificacion |
||||
| idmodif | numeric | 0 | √ | null |
|
|
identificador de la modificacion |
Indexes
| Constraint Name | Type | Sort | Column(s) |
|---|---|---|---|
| fact_rdi_provisorios_pkey | Primary key | Asc | id |
| fact_rdi_provisorios_idx_codemp | Performance | Asc/Asc/Asc/Asc/Asc | codemp_id + codcom_id + codtal_id + numero + id |
| fact_rdi_provisorios_idx_codenti | Performance | Asc/Asc/Asc | codenti_id + fecha_id + id |
| fact_rdi_provisorios_idx_idmodif | Performance | Asc/Asc | idmodif + id |
| fact_rdi_provisorios_idx_pendien | Performance | Asc/Asc/Asc/Asc | pendiente + codenti_id + fecha_id + id |


