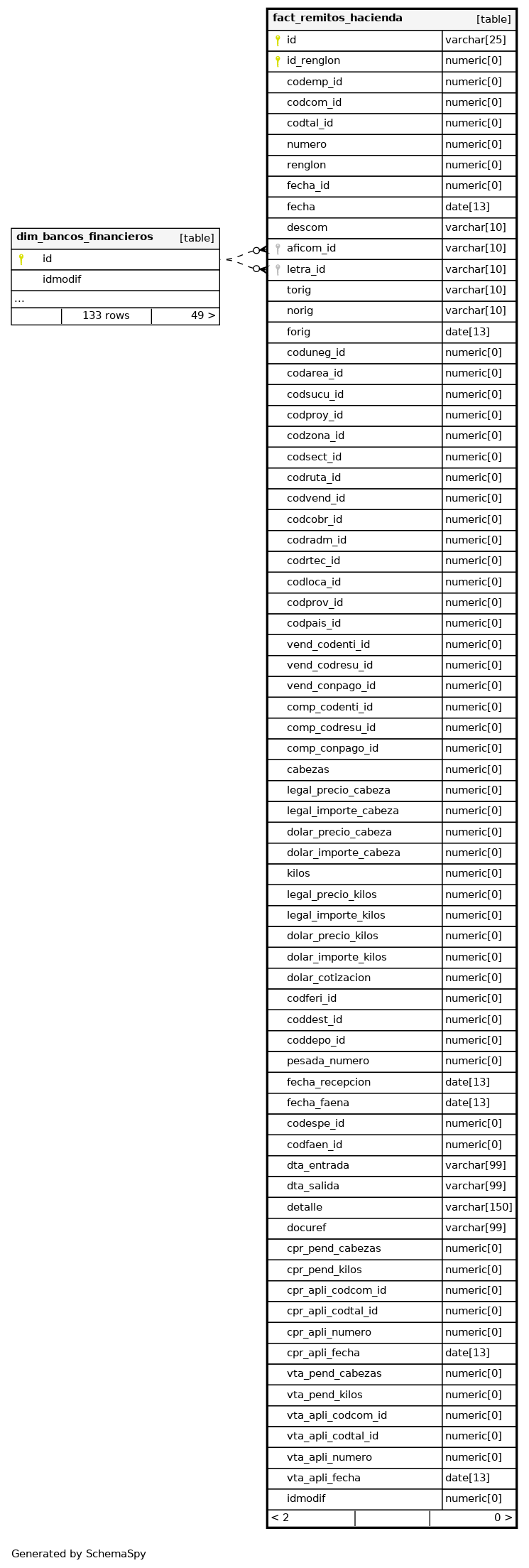
Columns
| Column | Type | Size | Nulls | Auto | Default | Children | Parents | Comments | |||
|---|---|---|---|---|---|---|---|---|---|---|---|
| id | varchar | 25 | null |
|
|
id del registro |
|||||
| id_renglon | numeric | 0 | null |
|
|
id de los renglones asociados al regsitro |
|||||
| codemp_id | numeric | 0 | √ | null |
|
|
Codigo de Empresa |
||||
| codcom_id | numeric | 0 | √ | null |
|
|
Tipo de Comprobante |
||||
| codtal_id | numeric | 0 | √ | null |
|
|
Código de talonario |
||||
| numero | numeric | 0 | √ | null |
|
|
Número de Comprobante |
||||
| renglon | numeric | 0 | √ | null |
|
|
Numero de renglon |
||||
| fecha_id | numeric | 0 | √ | null |
|
|
identificador de fecha del comprobante |
||||
| fecha | date | 13 | √ | null |
|
|
Fecha de Emisión |
||||
| descom | varchar | 10 | √ | null |
|
|
Descripcion reducida del Comprobante |
||||
| aficom_id | varchar | 10 | √ | null |
|
|
Tipo de comprobante ventas ARCA |
||||
| letra_id | varchar | 10 | √ | null |
|
|
Letra del Comprobante |
||||
| torig | varchar | 10 | √ | null |
|
|
Talón original |
||||
| norig | varchar | 10 | √ | null |
|
|
Numero original |
||||
| forig | date | 13 | √ | null |
|
|
Fecha Original |
||||
| coduneg_id | numeric | 0 | √ | null |
|
|
unidad de negocio |
||||
| codarea_id | numeric | 0 | √ | null |
|
|
area del negocio |
||||
| codsucu_id | numeric | 0 | √ | null |
|
|
codigo de sucursal |
||||
| codproy_id | numeric | 0 | √ | null |
|
|
numero de negocio general |
||||
| codzona_id | numeric | 0 | √ | null |
|
|
codigo de zona |
||||
| codsect_id | numeric | 0 | √ | null |
|
|
codigo de sector |
||||
| codruta_id | numeric | 0 | √ | null |
|
|
codigo de ruta |
||||
| codvend_id | numeric | 0 | √ | null |
|
|
codigo de vendedor |
||||
| codcobr_id | numeric | 0 | √ | null |
|
|
codigo de cobrador |
||||
| codradm_id | numeric | 0 | √ | null |
|
|
codigo de responsable administrativo |
||||
| codrtec_id | numeric | 0 | √ | null |
|
|
Codigo de responsable tecnico |
||||
| codloca_id | numeric | 0 | √ | null |
|
|
Código interno de Localidad |
||||
| codprov_id | numeric | 0 | √ | null |
|
|
numero interno de provincia |
||||
| codpais_id | numeric | 0 | √ | null |
|
|
numero interno de pais |
||||
| vend_codenti_id | numeric | 0 | √ | null |
|
|
codigo de vendedor |
||||
| vend_codresu_id | numeric | 0 | √ | null |
|
|
resumen de vendedor |
||||
| vend_conpago_id | numeric | 0 | √ | null |
|
|
Condición de pago vendedor |
||||
| comp_codenti_id | numeric | 0 | √ | null |
|
|
codigo de comprador |
||||
| comp_codresu_id | numeric | 0 | √ | null |
|
|
resumen de comprador |
||||
| comp_conpago_id | numeric | 0 | √ | null |
|
|
Condición de pago comprador |
||||
| cabezas | numeric | 0 | √ | null |
|
|
falta documentar |
||||
| legal_precio_cabeza | numeric | 0 | √ | null |
|
|
falta documentar |
||||
| legal_importe_cabeza | numeric | 0 | √ | null |
|
|
falta documentar |
||||
| dolar_precio_cabeza | numeric | 0 | √ | null |
|
|
falta documentar |
||||
| dolar_importe_cabeza | numeric | 0 | √ | null |
|
|
falta documentar |
||||
| kilos | numeric | 0 | √ | null |
|
|
falta documentar |
||||
| legal_precio_kilos | numeric | 0 | √ | null |
|
|
falta documentar |
||||
| legal_importe_kilos | numeric | 0 | √ | null |
|
|
falta documentar |
||||
| dolar_precio_kilos | numeric | 0 | √ | null |
|
|
falta documentar |
||||
| dolar_importe_kilos | numeric | 0 | √ | null |
|
|
falta documentar |
||||
| dolar_cotizacion | numeric | 0 | √ | null |
|
|
cotizacion del dolar |
||||
| codferi_id | numeric | 0 | √ | null |
|
|
codigo de feria |
||||
| coddest_id | numeric | 0 | √ | null |
|
|
codigo de destino |
||||
| coddepo_id | numeric | 0 | √ | null |
|
|
deposito |
||||
| pesada_numero | numeric | 0 | √ | null |
|
|
Número de pesada por feria |
||||
| fecha_recepcion | date | 13 | √ | null |
|
|
Fecha de recepcion |
||||
| fecha_faena | date | 13 | √ | null |
|
|
Fecha de faena |
||||
| codespe_id | numeric | 0 | √ | null |
|
|
codigo de especie |
||||
| codfaen_id | numeric | 0 | √ | null |
|
|
lugar de faena |
||||
| dta_entrada | varchar | 99 | √ | null |
|
|
dta de entrada |
||||
| dta_salida | varchar | 99 | √ | null |
|
|
dta de salida |
||||
| detalle | varchar | 150 | √ | null |
|
|
descripcion del renglon |
||||
| docuref | varchar | 99 | √ | null |
|
|
Documento de Referencia |
||||
| cpr_pend_cabezas | numeric | 0 | √ | null |
|
|
falta documentar |
||||
| cpr_pend_kilos | numeric | 0 | √ | null |
|
|
falta documentar |
||||
| cpr_apli_codcom_id | numeric | 0 | √ | null |
|
|
falta documentar |
||||
| cpr_apli_codtal_id | numeric | 0 | √ | null |
|
|
falta documentar |
||||
| cpr_apli_numero | numeric | 0 | √ | null |
|
|
falta documentar |
||||
| cpr_apli_fecha | date | 13 | √ | null |
|
|
falta documentar |
||||
| vta_pend_cabezas | numeric | 0 | √ | null |
|
|
falta documentar |
||||
| vta_pend_kilos | numeric | 0 | √ | null |
|
|
falta documentar |
||||
| vta_apli_codcom_id | numeric | 0 | √ | null |
|
|
falta documentar |
||||
| vta_apli_codtal_id | numeric | 0 | √ | null |
|
|
falta documentar |
||||
| vta_apli_numero | numeric | 0 | √ | null |
|
|
falta documentar |
||||
| vta_apli_fecha | date | 13 | √ | null |
|
|
falta documentar |
||||
| idmodif | numeric | 0 | √ | null |
|
|
identificador de la modificacion |
Indexes
| Constraint Name | Type | Sort | Column(s) |
|---|---|---|---|
| fact_remitos_hacienda_pkey | Primary key | Asc/Asc | id + id_renglon |
| fact_remitos_hacienda_idx_codemp | Performance | Asc/Asc/Asc/Asc/Asc/Asc | codemp_id + codcom_id + codtal_id + numero + id + id_renglon |
| fact_remitos_hacienda_idx_idmodif | Performance | Asc/Asc/Asc | idmodif + id + id_renglon |


